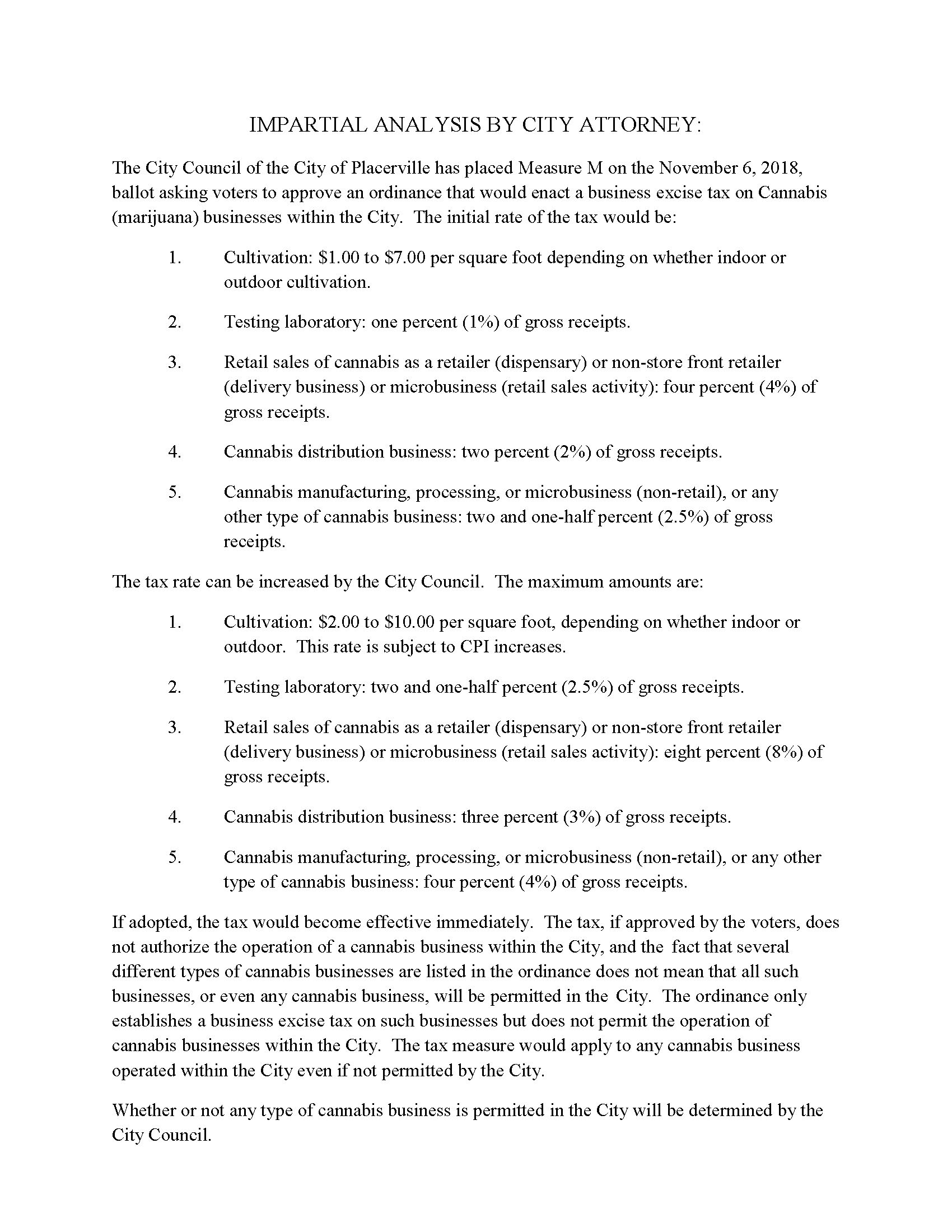
Measure M

Click here to view the proposed Cannabis Tax Ordinance

Measure M Website Posting (3)_Page_1.jpg

Measure M Website Posting (3)_Page_2.jpgMeasure M Website Posting (3)_Page_3.jpg